

Նեսթլե (Nestlé) ընկերությունը համաշխարհային մակարդակով հետ է կանչել որոշ մանկական կաթնախառնուրդներ՝ կապված ցերևիլիդ տոքսինով աղտոտման հավանական ռիսկ հայտնաբերելու հետ (կարող է առաջացնել սրտխառնոց, փսխում և ստամոքսի ցավեր):
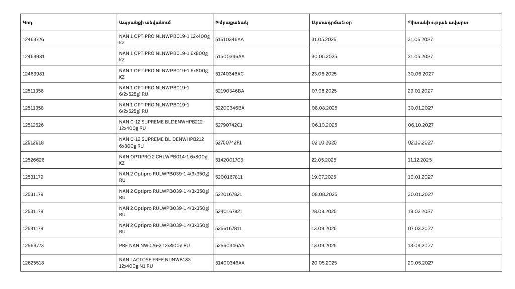
Սննդամթերքի անվտանգության տեսչական մարմինը հայտնում է, որ ՍԱՏՄ պահանջով՝ «NAN» ապրանքանիշի նշված խմբաքանակները Հայաստան ներմուծող ընկերություններն անմիջապես սկսել են հետկանչի՝ վաճառքի կետերից հավաքելու գործընթացը:

Թեև այս արտադրանքի հետ կապված հիվանդության հաստատված դեպքեր չեն արձանագրվել, սակայն հետկանչը կատարվում է նախազգուշական նպատակով։
«Եթե իրացման ցանցում կտեսնեք տուփեր NAN ապրանքանիշի նշված խմբաքանակներից՝ հորդորում ենք չգնել դրանք և անմիջապես տեղեկացնել Տեսչական մարմնի թեժ գծի հեռախոսահամարով՝ 118. այն շուրջօրյա է և անվճար»,-հայտնում է ՍԱՏՄ-ն։
Հիշեցնենք, որ դեռևս նոյեմբերի 21-ին գրել էինք, որ «NAN»-ի մեկ ալ՝ EXPERT PRO մանկական կաթնախառնուրդում հայտնաբերվել էր Cronobacter spp. մանրէ։
Իսկ դրանից հետո՝ դեկտեմբերի 15-ին, ՍԱՏՄ-ն հայտարարություն էր տարածել, որ «NAN»-ի մեկ այլ (NAN 1 OPTIPRO 2՛FL) վտանգավոր խմբաքանակ Հայաստան չի ներմուծվել։